RDP ile Uzak Masaüstü Bağlantısı
Windows Server'a RDP ile Bağlanma
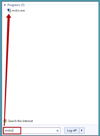
Başlat menüsüne mstsc yazın ve çıkan kısayola tıklayın:

Açılan pencereye sunucu adresini girin. Gerekirse - iki nokta üst üste işaretinden sonra, yani 11.22.33.44:55 biçiminde bağlantı noktası. Orada hesap adını belirtin.

"Bağlan" düğmesine tıkladıktan sonra uyarılar görünürse - "Bağlan "ı seçin.

"Bağlan" düğmesine basın, ardından şifreyi girmenizi isteyen bir pencere görünecektir. Gelecekte bunun görünmemesi için, önceki pencerede "kimlik bilgilerini kaydetmeye izin ver" onay kutusunu tıklayabilirsiniz.

Şifreyi girdikten sonra, sunucuya uzaktan bağlantı açılacaktır.
Gelecekte açıklanan tüm işlemlerden kaçınmak için, ana penceredeki (2. noktadan itibaren)"Farklı Kaydet" düğmesine tıklayabilir ve kısayolu kaydetmek için bir konum seçebilirsiniz.


Bundan sonra, belirtilen konumda bağlantı kurmak için çalıştırmanız gereken bir kısayol görünecektir.

MAC OS'den Bağlanma
Microsoft Uzak Masaüstü'nü Yükleme
Sunucu ekle'yi seçin

Sunucu adresinizi kaydedin...

Kullanıcı hesabına kullanıcı adı-şifre ekleyebilirsiniz.

Ve sonra bir hesap seçin.
