Povezava z oddaljenim namizjem prek protokola RDP
Povezovanje s strežnikom Windows prek protokola RDP
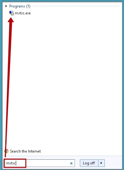
V meniju Start vnesite mstsc in kliknite bližnjico, ki se prikaže:

V prikazano okno vnesite naslov strežnika. Po potrebi - vrata za dvopičjem, torej v obliki 11.22.33.44:55. Tam določite ime računa.

Če se po kliku na gumb "Poveži" pojavijo opozorila - izberite možnost "Poveži".

Pritisnite gumb "Poveži", nakar se prikaže okno z zahtevo po vnosu gesla. Da se to v prihodnje ne bi pojavilo, lahko v prejšnjem oknu kliknete potrditveno polje "dovoli shranjevanje poverilnic".

Po vnosu gesla se bo odprla oddaljena povezava s strežnikom.
Da bi se v prihodnje izognili vsem opisanim operacijam, lahko v glavnem oknu (iz točke 2) kliknete gumb"Shrani kot" in izberete mesto, kamor želite shraniti bližnjico.


Nato se bo na določenem mestu pojavila bližnjica, ki jo morate samo zagnati, da vzpostavite povezavo.

Vzpostavljanje povezave iz operacijskega sistema MAC OS
Namestite Microsoftovo oddaljeno namizje
Izberite Dodaj strežnik

Registrirajte naslov strežnika..

V uporabniški račun lahko dodate uporabniško ime in geslo.

In nato izberite račun.
