Connessione desktop remoto tramite RDP
Connessione a Windows Server tramite RDP
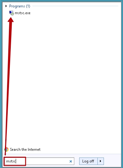
Nel menu di avvio, digitate mstsc e fate clic sul collegamento visualizzato:

Immettere l'indirizzo del server nella finestra visualizzata. Se necessario, la porta dopo i due punti, cioè nel formato 11.22.33.44:55. Specificare il nome dell'account.

Se dopo aver fatto clic sul pulsante "Connetti" compaiono degli avvisi, selezionare "Connetti".

Premete il pulsante "Connetti", dopodiché apparirà una finestra che vi chiederà di inserire la password. Per evitare che in futuro appaia, è possibile fare clic sulla casella di controllo "Consenti di salvare le credenziali" nella finestra precedente.

Dopo aver inserito la password, si aprirà una connessione remota al server.
Per evitare tutte le operazioni descritte in futuro, è possibile fare clic sul pulsante"Salva con nome" nella finestra principale (dal punto 2) e selezionare una posizione per salvare il collegamento.


In seguito, nella posizione specificata apparirà un collegamento che sarà sufficiente eseguire per stabilire una connessione.

Connessione da MAC OS
Installare Microsoft Remote Desktop
Selezionate Aggiungi server

Registra l'indirizzo del server.

È possibile aggiungere nome utente e password all'account utente.

Quindi scegliere un account.
