Conexión a Escritorio remoto mediante RDP
Conexión a Windows Server mediante RDP
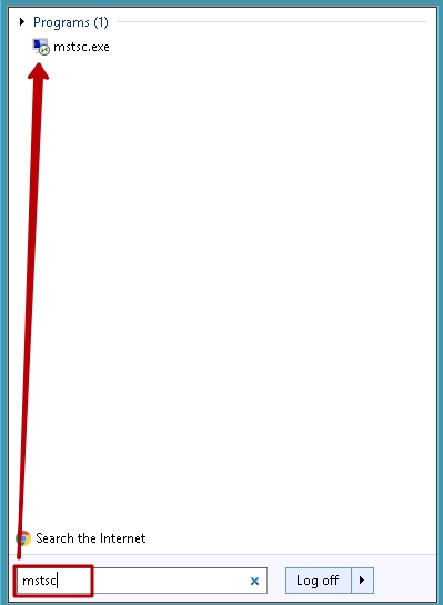
En el menú de inicio, escriba mstsc y haga clic en el acceso directo que aparece:

Introduzca la dirección del servidor en la ventana que aparece. Si es necesario - el puerto después de los dos puntos, es decir, en el formato 11.22.33.44:55. Especifique allí el nombre de la cuenta.

Si después de pulsar el botón "Conectar" aparecen advertencias - seleccione "Conectar".

Pulse el botón "Conectar", después de lo cual aparecerá una ventana pidiéndole que introduzca la contraseña. Para que en el futuro esto no aparezca, puede pulsar la casilla "permitir guardar credenciales" en la ventana anterior.

Tras introducir la contraseña, se abrirá una conexión remota con el servidor.
Para evitar todas las operaciones descritas en el futuro, puedes hacer clic en el botón"Guardar como" de la ventana principal (desde el punto 2) y seleccionar una ubicación para guardar el acceso directo.


Después de eso, aparecerá un acceso directo en la ubicación especificada, que sólo tendrá que ejecutar para establecer una conexión.

Conexión desde MAC OS
Instalar Microsoft Remote Desktop
Seleccione añadir servidor

Registre la dirección de su servidor..

Puede añadir nombre de usuario-contraseña a la cuenta de usuario.

Y luego elija una cuenta.
