Połączenie pulpitu zdalnego przez RDP
Łączenie się z Windows Server przez RDP
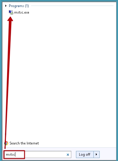
W menu start wpisz mstsc i kliknij skrót, który się pojawi:

W wyświetlonym oknie należy wpisać adres serwera. W razie potrzeby - port po dwukropku, czyli w formacie 11.22.33.44:55. Określ tam nazwę konta.

Jeśli po kliknięciu przycisku "Połącz" pojawią się ostrzeżenia - wybierz "Połącz".

Naciśnij przycisk "Połącz", po czym pojawi się okno z prośbą o wprowadzenie hasła. Aby nie pojawiało się ono w przyszłości, można kliknąć pole wyboru "zezwalaj na zapisywanie poświadczeń" w poprzednim oknie.

Po wprowadzeniu hasła zostanie otwarte zdalne połączenie z serwerem.
Aby uniknąć wszystkich opisanych operacji w przyszłości, można kliknąć przycisk"Zapisz jako" w oknie głównym (od punktu 2) i wybrać lokalizację do zapisania skrótu.


Następnie w określonej lokalizacji pojawi się skrót, który wystarczy uruchomić, aby nawiązać połączenie.

Łączenie z systemu MAC OS
Zainstaluj Microsoft Remote Desktop
Wybierz dodaj serwer

Zarejestruj adres serwera...

Możesz dodać nazwę użytkownika i hasło do konta użytkownika.

Następnie wybierz konto.
