RDP ile bağlanırken klasör yönlendirme
Bu yöntem, belirli bilgileri uzak bir masaüstüne aktarmanız gerekiyorsa kullanışlıdır.
Ayrıca - bu şekilde yerel olarak bağlı bir yazıcıyı "iletebilirsiniz", böylece gerekirse belgeleri yerel bilgisayara aktarmadan doğrudan uzak bir masaüstünden yazdırabilirsiniz.
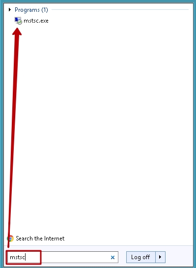
- Başlat menüsüne mstsc yazın ve görüntülenen kısayola tıklayın

Açılan pencerede"Yerel Kaynaklar" sekmesine gidin.

İşaretli onay kutuları şunlardan sorumludur:
- Yazıcı yönlendirme (yani işaretlendiğinde, yerel olarak bağlı yazıcılar uzak masaüstünde kullanılabilir olacaktır)
- Pano yönlendirme (yerel bilgisayardan kopyalanan bilgiler uzak masaüstündeki belgelere yapıştırılabilir
- Gelişmiş yönlendirme özellikleri
- Ekran görüntüsündeki 3. düğme ile ilgileniyoruz. Görünen pencerede, disk listesini açın ve RDP aracılığıyla kullanılabilir hale getirmeyi planladığımız diski seçin.

Bundan sonra sunucuya bağlanıyoruz ve ağ kaynakları listesinde diskimizi görüyoruz.