Reenvío de carpetas al conectarse mediante RDP
Este método es útil si necesitas transferir cierta información a un escritorio remoto.
Además, de este modo puedes "reenviar" una impresora conectada localmente para que, en caso necesario, puedas imprimir directamente desde un escritorio remoto, sin transferir documentos al ordenador local.
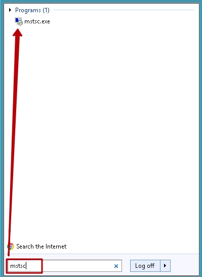
- En el menú de inicio, escriba mstsc y haga clic en el acceso directo que aparece

En la ventana que se abre, vaya a la pestaña"Recursos locales".

Las casillas marcadas son responsables de:
- Reenvío de impresoras (es decir, cuando está marcada, las impresoras conectadas localmente estarán disponibles en el escritorio remoto).
- Reenvío del portapapeles (la información copiada en el ordenador local puede pegarse en los documentos del escritorio remoto).
- Funciones avanzadas de reenvío
- Nos interesa el tercer botón de la captura de pantalla. En la ventana que aparece, abrimos la lista de discos y seleccionamos el que queremos que esté disponible vía RDP.

Después, nos conectamos al servidor y en la lista de recursos de red vemos nuestro disco.