Inoltro delle cartelle durante la connessione via RDP
Questo metodo è utile se è necessario trasferire determinate informazioni a un desktop remoto.
Inoltre, in questo modo è possibile "inoltrare" una stampante collegata localmente in modo che, se necessario, si possa stampare direttamente da un desktop remoto, senza trasferire i documenti sul computer locale.
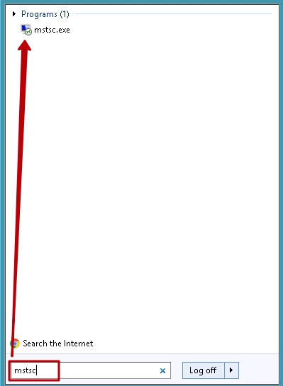
- Nel menu di avvio, digitare mstsc e fare clic sul collegamento visualizzato.

Nella finestra che si apre, andare alla scheda"Risorse locali".

Le caselle di controllo contrassegnate sono responsabili di:
- Inoltro delle stampanti (quando è selezionata, le stampanti collegate localmente saranno disponibili sul desktop remoto).
- Inoltro degli appunti (le informazioni copiate dal computer locale possono essere incollate nei documenti del desktop remoto).
- Funzionalità di inoltro avanzate
- Ci interessa il terzo pulsante della schermata. Nella finestra che appare, apriamo l'elenco dei dischi e selezioniamo quello che intendiamo rendere disponibile tramite RDP.

Dopodiché, ci colleghiamo al server e nell'elenco delle risorse di rete vediamo il nostro disco.