Posredovanje map pri povezovanju prek protokola RDP
Ta metoda je uporabna, če morate določene informacije prenesti na oddaljeno namizje.
Prav tako lahko na ta način "preusmerite" lokalno priključen tiskalnik, tako da lahko po potrebi tiskate neposredno z oddaljenega namizja, ne da bi dokumente prenesli v lokalni računalnik.
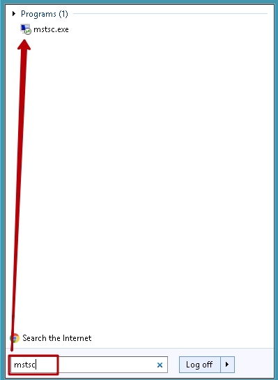
- V začetni meni vnesite mstsc in kliknite bližnjico, ki se prikaže.

V oknu, ki se odpre, pojdite na zavihek"Lokalni viri".

Označena potrditvena polja so odgovorna za:
- posredovanje tiskalnikov (tj. če je označeno, bodo lokalno povezani tiskalniki na voljo na oddaljenem namizju)
- posredovanje odložišča (kopirane informacije iz lokalnega računalnika se lahko prilepijo v dokumente na oddaljenem namizju).
- Napredne možnosti posredovanja
- Zanima nas tretji gumb na sliki zaslona. V oknu, ki se prikaže, odprite seznam diskov in izberite tistega, ki ga nameravamo dati na voljo prek RDP.

Nato se povežemo s strežnikom in na seznamu omrežnih virov vidimo naš disk.