Przekierowanie folderów przy połączeniu przez RDP
Ta metoda jest przydatna, gdy trzeba przesłać określone informacje do zdalnego pulpitu.
Ponadto - w ten sposób można "przekierować" lokalnie podłączoną drukarkę, aby w razie potrzeby można było drukować bezpośrednio z pulpitu zdalnego, bez przesyłania dokumentów do komputera lokalnego.
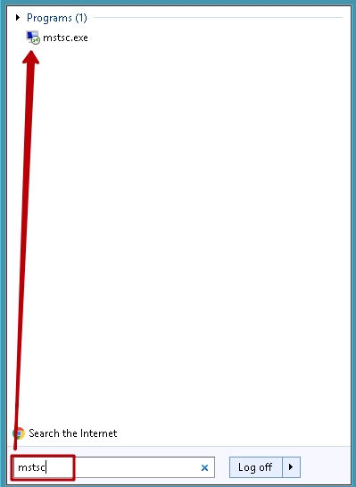
- W menu start wpisz mstsc i kliknij skrót, który się pojawi

W otwartym oknie przejdź do zakładki"Zasoby lokalne".

Zaznaczone pola wyboru odpowiadają za:
- Przekazywanie drukarek (tzn. po zaznaczeniu, lokalnie podłączone drukarki będą dostępne na pulpicie zdalnym)
- Przekazywanie schowka (skopiowane informacje z komputera lokalnego mogą być wklejane do dokumentów na pulpicie zdalnym).
- Zaawansowane możliwości przekierowania
- Interesuje nas trzeci przycisk na zrzucie ekranu. W wyświetlonym oknie otwieramy listę dysków i wybieramy ten, który planujemy udostępnić przez RDP.

Następnie łączymy się z serwerem i na liście zasobów sieciowych widzimy nasz dysk.